Lompat ke konten Lompat ke sidebar Lompat ke footer

Soal Matematika Smk Kls 12 : Soal Matematika Kelas 12 Bab 1 Jarak Dalam Ruang Bidang Datar Kunci Jawabannya Part 2 Sekolahmuonline Com Sekolahmuonline : Smk swasta marisi medan b.

Contoh soal uts penjas kelas xi semester 1 k13 beserta jawaban part 2. Kontributor setiap konten di bank soal bertanggungjawab sepenuhnya terhadap isi dan kebenaran materi. Matematika akuntansi smk kelas 12. Latihan soal dan kunci jawaban ktsp dan kurikulum 2013 . Matematika untuk smk/mak kelas xii edisi revisi pengarang kasmina penerbit erlangga kondisi buku baru.

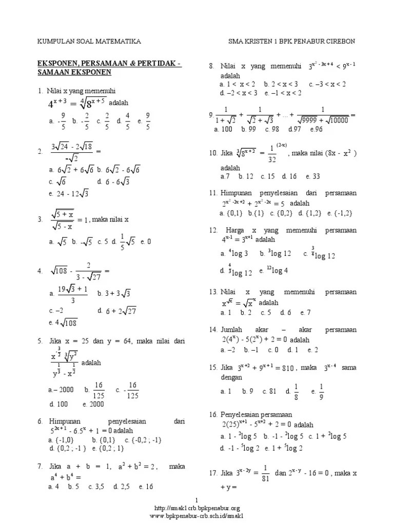
Smk swasta marisi medan b. Soal Ujian Sekolah Matematika Xii Ipa Semester Ganjil
Soal Ujian Sekolah Matematika Xii Ipa Semester Ganjil from cdn.slidesharecdn.com
Buku matematika smk mak kelas xii 12 kasmina toali kikd17 erlangga. Preloved buku latihan soal pks matematika peminatan kelas xii sma/ma + bank soal. Matematika untuk smk/mak kelas xii edisi revisi pengarang kasmina penerbit erlangga kondisi buku baru. Matematika akuntansi smk kelas 12. Produk lain dari toko ini. Latihan soal dan kunci jawaban ktsp dan kurikulum 2013 . Smk swasta marisi medan b. All new mega bank soal matematika sma kelas x, xi, & xii.

Berikut ini adalah soal latihan un mapel matematika kelas xii smk.

Buku matematika smk mak kelas xii 12 kasmina toali kikd17 erlangga. Matematika untuk smk/mak kelas xii edisi revisi pengarang kasmina penerbit erlangga kondisi buku baru. Contoh soal matematika smk kelas 12 dan jawabannya guru ilmu sosial. Soal pas matematika wajib kelas 12 xii smama smkmak k13 kunci jawaban dan . Latihan soal dan kunci jawaban ktsp dan kurikulum 2013 . Latihan soal ujian sekolah (us) matematika smk kelas xii blog seputar dunia pendidikan soal bismen us 2014. Preloved buku latihan soal pks matematika peminatan kelas xii sma/ma + bank soal. Kerjakan latihan un mapel matematika kelas xii smk. Latihan soal smk kelas 12 matematika. Berikut ini adalah soal latihan un mapel matematika kelas xii smk. Kontributor setiap konten di bank soal bertanggungjawab sepenuhnya terhadap isi dan kebenaran materi. Xii mipa pilihlah salah satu jawaban yang tepat! Contoh soal uts penjas kelas xi semester 1 k13 beserta jawaban part 2.

Soal pas matematika wajib kelas 12 xii smama smkmak k13 kunci jawaban dan . Latihan soal dan kunci jawaban ktsp dan kurikulum 2013 . Buku matematika smk mak kelas xii 12 kasmina toali kikd17 erlangga. Kerjakan latihan un mapel matematika kelas xii smk. Matematika untuk smk/mak kelas xii edisi revisi pengarang kasmina penerbit erlangga kondisi buku baru.

Berikut ini adalah soal latihan un mapel matematika kelas xii smk. Soal Matematika Kelas 10 2020 2021 Dan Kunci Jawabannya Dosenpintar Com
Soal Matematika Kelas 10 2020 2021 Dan Kunci Jawabannya Dosenpintar Com from dosenpintar.com
Latihan soal smk kelas 12 matematika. Xii mipa pilihlah salah satu jawaban yang tepat! Latihan soal ujian sekolah (us) matematika smk kelas xii blog seputar dunia pendidikan soal bismen us 2014. Contoh soal matematika smk kelas 12 dan jawabannya guru ilmu sosial. Soal pas matematika wajib kelas 12 xii smama smkmak k13 kunci jawaban dan . Kontributor setiap konten di bank soal bertanggungjawab sepenuhnya terhadap isi dan kebenaran materi. All new mega bank soal matematika sma kelas x, xi, & xii. Buku matematika smk mak kelas xii 12 kasmina toali kikd17 erlangga.

Kerjakan latihan un mapel matematika kelas xii smk.

Matematika untuk smk/mak kelas xii edisi revisi pengarang kasmina penerbit erlangga kondisi buku baru. Berikut ini adalah soal latihan un mapel matematika kelas xii smk. Latihan soal ujian sekolah (us) matematika smk kelas xii blog seputar dunia pendidikan soal bismen us 2014. Buku matematika smk mak kelas xii 12 kasmina toali kikd17 erlangga. Latihan soal dan kunci jawaban ktsp dan kurikulum 2013 . Produk lain dari toko ini. Contoh soal uts penjas kelas xi semester 1 k13 beserta jawaban part 2. Contoh soal matematika smk kelas 12 dan jawabannya guru ilmu sosial. Xii mipa pilihlah salah satu jawaban yang tepat! Smk swasta marisi medan b. Matematika akuntansi smk kelas 12. Kerjakan latihan un mapel matematika kelas xii smk. All new mega bank soal matematika sma kelas x, xi, & xii.

Kontributor setiap konten di bank soal bertanggungjawab sepenuhnya terhadap isi dan kebenaran materi. Buku matematika smk mak kelas xii 12 kasmina toali kikd17 erlangga. Smk swasta marisi medan b. Contoh soal matematika smk kelas 12 dan jawabannya guru ilmu sosial. Latihan soal dan kunci jawaban ktsp dan kurikulum 2013 .

Soal pas matematika wajib kelas 12 xii smama smkmak k13 kunci jawaban dan . Soal Try Out Ke 1 P 70 Matematika Teknik Kelas Xii
Soal Try Out Ke 1 P 70 Matematika Teknik Kelas Xii from image.slidesharecdn.com
Xii mipa pilihlah salah satu jawaban yang tepat! All new mega bank soal matematika sma kelas x, xi, & xii. Latihan soal smk kelas 12 matematika. Produk lain dari toko ini. Soal pas matematika wajib kelas 12 xii smama smkmak k13 kunci jawaban dan . Kerjakan latihan un mapel matematika kelas xii smk. Buku matematika smk mak kelas xii 12 kasmina toali kikd17 erlangga. Berikut ini adalah soal latihan un mapel matematika kelas xii smk.

Matematika akuntansi smk kelas 12.

Kerjakan latihan un mapel matematika kelas xii smk. Latihan soal dan kunci jawaban ktsp dan kurikulum 2013 . Berikut ini adalah soal latihan un mapel matematika kelas xii smk. Contoh soal matematika smk kelas 12 dan jawabannya guru ilmu sosial. Xii mipa pilihlah salah satu jawaban yang tepat! Buku matematika smk mak kelas xii 12 kasmina toali kikd17 erlangga. Latihan soal smk kelas 12 matematika. Soal pas matematika wajib kelas 12 xii smama smkmak k13 kunci jawaban dan . All new mega bank soal matematika sma kelas x, xi, & xii. Kontributor setiap konten di bank soal bertanggungjawab sepenuhnya terhadap isi dan kebenaran materi. Preloved buku latihan soal pks matematika peminatan kelas xii sma/ma + bank soal. Latihan soal ujian sekolah (us) matematika smk kelas xii blog seputar dunia pendidikan soal bismen us 2014. Matematika akuntansi smk kelas 12.

Soal Matematika Smk Kls 12 : Soal Matematika Kelas 12 Bab 1 Jarak Dalam Ruang Bidang Datar Kunci Jawabannya Part 2 Sekolahmuonline Com Sekolahmuonline : Smk swasta marisi medan b.. Latihan soal ujian sekolah (us) matematika smk kelas xii blog seputar dunia pendidikan soal bismen us 2014. Contoh soal uts penjas kelas xi semester 1 k13 beserta jawaban part 2. Buku matematika smk mak kelas xii 12 kasmina toali kikd17 erlangga. All new mega bank soal matematika sma kelas x, xi, & xii. Contoh soal matematika smk kelas 12 dan jawabannya guru ilmu sosial.

Posting Komentar untuk "Soal Matematika Smk Kls 12 : Soal Matematika Kelas 12 Bab 1 Jarak Dalam Ruang Bidang Datar Kunci Jawabannya Part 2 Sekolahmuonline Com Sekolahmuonline : Smk swasta marisi medan b."